Notice - 얄팍한 상식 수준에서 다루는 비전문적이고 깊이 없는 포스팅이므로 숨겨져 있을 오류와 논리적 비약, 수다쟁이의 헛된 망상에 주의가 필요하다.
계조와 관련해서 못다 한 수다를 계속 이어보자. 두서없는 수다이지만, 전편의 내용을 먼저 읽어보면 그나마 조금은 두서를 찾을 수도 있겠다.
▶ 다이내믹 레인지(DR)와 계조
비트 심도(bit depth)와 계조의 관계에 대해서는 이전 수다를 참고하고, 이를 바탕으로 다이나믹 레인지(dynamic range. DR 또는 DNR)와 계조에 대해서 이야기를 확장해 보자. 다이나믹 레인지의 정의 또한 이전 수다에서 다룬 바 있으니 중복을 피하기 위해 링크로 대신한다.
디지털 카메라와 다이나믹 레인지에 대하여 II / About digital camera and dynamic range
Notice - 상식 수준에서 다루는 비전문적이고 깊이 없는 포스팅이므로 숨겨져 있을 오류와 논리적 비약, 수다쟁이의 헛된 망상에 주의가 필요하다. 일전 다이나믹 레인지에 대한 수다를 한 적이 있는데, 내용이 부..
surplusperson.tistory.com
데이터의 동적 대역 폭, 좀 더 이미지와 관련해서 풀어 설명하면 이미지 센서에서 증폭 작용으로 표현할 수 있는 가장 밝은 영역과 어두운 영역의 범위라고 할 수 있다. (이미지 센서는 빛 정보를 전압 정보의 형태로 전환해주는 장치이며, DR은 이미지 센서의 성능과 밀접하게 관련되어있고, 비트 심도는 A/D 변환이 이루어지는 과정에서 디지털 정보의 처리의 단계/세밀함과 관련 있다) 다이내믹 레인지 성능은 각 카메라의 기계적 성능과 세팅에 따른 제 조건(이미지 센서의 수광률, 해상력, ISO 감도)에 따라 차이는 있지만, 일반 소비자용(상용) 디지털카메라/캠코더 등에서 대략 8~14 stop 정도에 이른다. 그렇다면 DR의 범위와 비트 심도에 따른 계조의 상관관계는 궁금해진다.

위 샘플 이미지는 비트 심도에 따라 가장 밝은 영역과 가장 어두운 영역에서 몇 단계의 계조(명암의 농담 단계)를 가지는지를 보여주는데, 다이나믹 레인지에 따라 가장 밝은 영역과 어두운 영역의 범위가 좁혀질 수도 있고 더 늘어날 수 있음을 감안하면, 동일한 비트 심도의 포맷으로 이미지가 촬영될 때, DR이 좁을 경우 계조 단계의 표현이 상대적으로 더 세밀하게 계조 표현이 가능하고 DR이 넓을 경우에는 상대적으로 덜 세밀한 계조 표현이 되지 않을까.
이를 좀 더 풀어서 설명해 보자. 만약 8 stop DR 최대 범위를 가지는 이미지와 12 stop DR 최대 범위의 이미지 두 개가 있고 둘 모두 8 비트 심도를 가진다고 가정해 보자. 두 이미지 모두 8 비트 뎁스이므로 256단계의 계조 표현력을 가지는데, 각 1 stop에 표현 가능한 계조 단계는 어떻게 될까? 8 DR 성능의 이미지는 1 stop 범위에서 32단계(256/8)의 계조 표현이 가능하고 12 DR 이미지는 1 stop 범위에 21.33 단계(256/12)의 계조 표현력을 가지게 된다. 이는 동일한 비트 심도에서 표현 가능한 DR이 넓을수록 계조 표현력은 떨어지는 결과가 된다. 즉, DR 전체 범위에서 계조의 전체 단계는 비트 심도에 따라 정해져 있고, 따라서 DR이 확장될수록 계조의 1 stop 당 세부적인 디테일/표현력은 저하된다.
8 비트 심도의 256 단계 계조 표현은 충분한 수준이라 말해왔는데 그 이상의 계조/색 심도 표현 단계의 차이나 디테일을 사람의 시감각 능력에서 감지할 수 없다는 것을 의미하지는 않는다. 사람의 시감각은 계조에 매우 민감해서 그 차이를 꽤 유의미하게 구분하고 디스플레이 환경(크기 등)에 따라 농담 디테일의 좋고 나쁨을 체감할 수 있다. (계조 표현의 차이를 체감할 수 있는 최고점이 어디인지는 개인적인 시력의 차이와 기타 여러 조건에 따라 차이가 있을 수 있지 싶다) 하지만, 8비트 심도의 재생 환경이라는 제약된 조건에서 그 이상의 계조 단계가 표현되지 않으므로 재생 (디스플레이) 환경에서의 표현 가능한 비트 심도, 계조 표현이 전제되지 않고서는 그 차이를 체감할 가능성이 크지 않다는 의미이다.
▶ DR과 계조 문제의 해법
앞에서 살펴본 DR과 계조의 상관관계로만 보면 (동일한 비트 심도라는 전제에서) DR 확장으로 인한 (1 stop 당) 계조 표현력의 저하는 썩 달갑지 않다. 넓은 DR과 세밀한 계조 표현력은 화질을 결정하는 중요한 요소인데, 양립할 수 없는 관계인 것일까? 더구나 노출값을 이리저리 변경하는 후보정 과정에서는 세밀한 계조 표현에 더 많은 문제를 야기하지는 않을까. 이 문제의 해답은 의외로 간단하다. (먼저, 넓은 DR의 이미지는 디스플레이 환경에 맞도록 재설정되는 과정을 거치거나, 이런 과정이 없다면 양 끝단의 정보는 임의로 잘려 디스플레이 장치의 DR 성능에 맞도록 표시될 것이므로, 실제로 눈에 보이는 이미지의 1 stop에서의 계조 표현에는 큰 차이를 체감하기 어렵지 않을까, 물론, 아래에서 설명하듯, 10 stop을 상회하는 DR 성능을 가진 모니터는 꽤 고사양/고화질의 모니터이고 비트 심도가 상대적으로 더 높을 것이다. 그리고 무엇보다 이미지 포맷의 비트 심도를 높여서 계조의 표현 단계를 증가하면 해결되는 문제이다. 따라서, 정지/스틸 이미지에서는 Raw 포맷을 통해 12 bit 또는 14 bit, 흔하지 않지만 16 bit 등 높은 비트 심도를 통해 이 문제를 해결하지 싶다.
DR이 넓은 카메라에서 JPEG 포맷 (8bit depth)으로 찍은 사진이 DR이 좁은 카메라로 찍은 JPEG에 비해 계조 표현력이 더 좋지 않을 수 있다는 결론은 고사양/고성능을 최고의 가치로 꼽는 사람에게는 조금 불편할 수도 있겠다. 하지만, 비트 심도를 높여 해결할 수 있는 문제이므로 억지로 헤집을 만한 이야기 꺼리는 아니지 싶다. 더구나 연작 수다 중 첫 번째에서 언급했듯이 앞에서 언급한 조건이라면 DR이 넓은 카메라의 이미지는 일응 '계조가 풍부한 사진'이라 불릴 것이고, DR이 좁은 카메라는 상대적으로 '계조 표현력이 좋은 사진'으로 지칭할 수도 있지 않을까? 물론 둘 다 상대적인 비교에 불과하고, 아주 일부분의 제한적인 조건에서나 맞아떨어지는 지엽적인 문제라 생각한다.
하지만, 비트 심도를 높이는 것은 실제 많은 난관이 있고, 비트 심도가 높은 것이 화질(계조/색 표현력 등)에서 중요한 요소이지만, 무작정 높은 것이 최선이라고 말하기에는 현실적인 여러 문제가 있다. 이에 대해서도 아래에서 다루자.
▶ 영상 포맷에서의 비트 심도와 계조
비트 심도를 높여서 계조의 표현력을 증대하는 해법이 여러 기술상의 문제로 적용되지 못하는 경우도 있는데, 대표적인 경우가 현재 일반 소비자 대상의 비디오 카메라 또는 디지털카메라의 영상 촬영 포맷이다. 비디오/영상 파일은 프레임 레이트에 따라 초당 여러 장의 정지 이미지가 연속적으로 이어져서 이루어지는데, 일반적인 영상 프레임 레이트인 24 또는 30p에서 초당 24장에서 30장의 이미지가 존재하고 이는 다양한 압축 알고리즘을 동원하여 용량을 줄인다 하더도 일반적인 스틸 이미지 한 장에 비해 영상 파일은 상당히 큰 용량의 파일이 될 수밖에 없다. 따라서 비트 심도를 높이는 문제는 데이터/파일의 용량과 직결되고 더구나 다른 용량 증가 요소(고해상력을 위한 고화소화 등)와 맞물려 마냥 비트 심도를 높여서 계조 또는 색심도의 문제를 해결 수 없는 상황에 놓인다. 따라서 대부분의 일반용 비디오 카메라 또는 동영상 녹화가 가능한 카메라는 높은 압축률의 포맷/코덱을 기반으로 적정한(카메라의 하드웨어 성능과 사용자들의 이용 목적에 맞춘) 해상력에 현재 디스플레이 환경(현재 대부분의 디지털 TV, 모니터, 모바일 기기의 화면, 디지털 영사기, 그리고 디지털 방송 표준 또한 8 비트 심도를 기반으로 한다), 사용 목적 등을 고려하여 다양한 제품 유형(가정용 비디오 카메라, 액션 캠, 일반용 고화질 VDSLR과 미러리스 카메라, 시네마용 카메라 등)으로 만들어지고 있는 것일 게다.
8비트 심도로 촬영된 영상을 8비트 심도의 재생(디스플레이) 환경 조합은 효과적이고 현재의 일반적인 조건 등을 감안하면 범용성을 가지고 효율적이라 말할 수 있지만, 더 높은 화질(DR이나 색 표현력의 확장)이나 스펙 / 성능을 요구하는 사용자들 요구를 모두 만족시키기 어려운 측면도 있다. 때때로 카메라 제조사는 기술력을 보여주고픈 욕심과 타제품과 차별화를 위해 때로는 무리수를 두기도 하고 제품이 표방하는 컨셉이나 유형과 잘 맞지 않아 사용 콘셉트와 성능이 부 조화스러운 결과를 낳기도 하며, 다양한 소비자 요구의 충족이라는 핑계로 수익 극대화를 위한 급 나누기 행태를 보이기도 한다. 초고화질(UHD) 영상 카메라와 관련하여 카메라의 사양이나 새로운 영상 포맷 등 다양한 변화가 이목을 끄는데, DR 확장의 경우 사람의 시감각 능력에 부합/또는 더 뛰어난 화질의 이미지(사진이나 영상)를 위해 넓은 다이나믹 레인지 범위를 확보하는 것이 필요하고, 사용자가 원하는 룩(계조나 색감)의 사진/이미지를 만든 것, 그리고 다양한 환경에서 편집 사용하기 위한 범용성과 확장성의 확보와 적절한 수준의 후 보정이 가능한 관용성을 확보하는 것 또한 화질과 더불어 중요한 성능의 하나로 여겨진다.
초고화질 영상뿐만 아니라 최근의 유튜브 등 UCC의 인기는 1인 미디어, Vlog 등으로 대표되는 새로운 변화로 다양한 영상 공급과 수요의 다변화를 가져왔고, 영화 제작에서나 가능하던 감성적이고 사람 시각 특성을 고려 시네마 룩 등을 구현할 수 있는 제품의 요구가 커지고 이에 덧붙여 고화질/고성능의 영상에 대한 일반인의 관심도 대폭 증가했다. 카메라 회사들도 이에 부응하는 제품으로 카메라 시장의 판도가 변화하고 있는 것 같다. FHD에서 4K UHD 고화소화는 카메라뿐 아니라 디스플레이 장치에서 이미 상당 부분 진행되었고, 그 뒤를 이어 초고화질 영상에 부합하는 HDR, 확장된 색 심도, 고속 프레임 레이트 영상 등이 속속 일반 소비자 층에서도 가능한 시기가 다가오고 있다. 그중 HDR과 확장된 색 심도가 최근의 일반 소비자용 카메라 성능의 주요 화두로 주목받는다.
근래 영상에는 넓은 DR 실현을 위해 일종의 과도기적 유사 HDR 방식이라고 할 수 있는 감마 커브를 이용한 하이브리드 감마나 로그 프로파일 포맷 등이 자주 활용되는데, 감마 커브와 관련한 계조 표현력의 문제에 대해서 수다를 이거가 보자. (감마 커브는 이미지의 계조를 구현하는 일부의 방법론에 불과하므로, 감마 커브와 계조의 개념 차이를 구분할 필요가 있다)
▶ 감마 곡선과 계조 - 모니터의 감마 곡선과 카메라의 감마 곡선
먼저, CRT 모니터 등에서 감마 조정 등으로 친숙한 디스플레이 장치의 감마 곡선(Gammar curve)에 대해 알아보자. 원래 CRT 모니터 등의 디스플레이 장치에서 보다 시각적으로 효과적인 화면의 실현 즉, 사람의 시감각에 최적화를 위해 1930 무렵부터 연구되기 시작했다고 한다. 대표적인 CRT 감마로는 NTSC(National Television System Committee) 표준 감마값인 2.2에 해당한다.
계조를 인식하는 데 있어 사람의 시감각은 "어두운 영역에서의 계조 단계는 잘 구분하지만, 밝은 영역에서의 계조 단계는 어두운 단계에 비해 상대적으로 잘 구분하지 못하는 특성"을 가지고 있는데 이를 반영하여 모니터 등의 디스플레이 장치에서 어두운 영역과 밝은 영역에서 출력되는 휘도 값의 변화와 계조 단계에 변화를 준 방식이다. 좀 더 풀어 설명하면, 이는 사람의 시감각이 밝기 단계를 어두운 영역에서 물리적인 절대값의 밝기 단계에 따라 균등하게 계조를 인지하는 것이 아니라, 어두운 영역에서는 작은 밝기 단계 변화에도 그 차이를 잘 인식하는 반면, 밝은 영역으로 갈수록 밝기 단계의 변화를 지각하기 위해서는 더 큰 밝기의 변화가 필요함을 의미한다.
감마 값 1은 입력과 출력이 각각 같지만, 감마 값이 커 질수록 어두운 명도 영역이 출력이 감소하여 더 어둡게 표현되고 화면의 전체 대비는 높아진다. 따라서 감마 값의 대비를 통해 디스플레이 화면의 계조 영역에 따라 일정 비율로 변화된 휘도 출력을 얻을 수 있다.

선형적이었던 입력과 출력의 관계를 사람 시감각의 특성에 맞게 비선형적으로 변형하여 사람의 시각(어두운 영역에서의 계조 단계는 잘 구분하지만, 밝은 영역에서의 계조 단계는 잘 구분하지 못하는 특성)에 알맞은 재생/디스플레이 환경을 만드는 방법이었고 이는 매우 성공적이고 효과적이어서 오랫동안 감마 커브의 조정을 통해 최적화된 재생 화면을 얻는 수단으로 사용되고 있다.
카메라 등 입력 장치에도 필름과 유사한 계조 표현이 가능하도록 하는 방법이 연구되었고 그 해법이 '카메라 로그 감마'라 할 수 있다. 본래, 비디오 감마는 선형 감마이고 이는 밝기에 따라 계조 정보를 균등(선형,linear)하게 기록하는 측면에서는 장점이 있지만, 사람 시감각의 인지 특성과는 잘 부합하지 않아서, 필름으로 촬영된 영과 비교하면 어색한 디지털 톤의 영상으로 보였고, 따라서 필름(흔히 시네마 룩 또는 필름 감성?)의 계조/톤과 유사하게 표현 가능하게 고안된 것이 카메라 로그 감마가 연구된 이유이지 싶다.
카메라 로그(Log) 감마의 시초는 (아마도) 1994년에 '코닥'에 의해 고안된 Cineon 포맷이라고 할 수 있는데, 이는 필름을 텔레시네(telecine - "움직이는 영상 필름 스트립을 디지털 비디오로 변환하는 과정") 하여 디지털로 변환할 때 영화에 사용된 네거티브 필름의 특성에 맞춰 고안된 10bit 로그 감마 곡선으로 필름의 대수(로그)적인 계조를 선형적인 비디오 감마에서 표현하기 위한 로그 감마 곡선이었다. (네거티브 필름의 계조 자체가 대수(로그)로 표현되는 특성을 가지고 있다) 이후, HD TV 방송의 표준(공용)화의 영상 감마로 친숙한 색역 REC. 709 (BT.709) 등등이 만들어지며 HD 표준으로 FHD 까지 영상에서 가장 애용된다. 이후 HD 고화질 수준에서 보다 향상된 초고화질(UHD)을 위해 보다 확장된 DR(HDR)에 알맞도록 다양한 감마 곡선(하이브리드 감마 커브, Log 감마 커브 등)과 색역 등이 등장하고 있다.
JPEG에서 감마 커브는 별도로 언급되는 경우는 별로 없지만, 색공간(sRGB) 적용에 의해 RGB 색정보에 따라 비선형 변환이 이루어지고 이 감마 커브는 CRT 감마와 거의 유사하다. 이런 비선형 변환은 사람의 시감각 인식에 알맞도록 밝기/명도 단계에 따라 선형 기반의 RBG 데이터를 효율적으로 사용한다. 비선형적인 sRGB의 감마는 특정 수치로 표시하기에는 적당하지 않지만, 약 2.2 (밝기/명도 단계에 따라 1.0~2.4 정도) 비선형트 심도, 계조 표현이 전제되지 않고서는 그 차이를 체감할 가능성이 크지 않다는 의미이다.
▶ DR과 계조 문제의 해법
앞에서 살펴본 DR과 계조의 상관관계로만 보면 (동일한 비트 심도라는 전제에서) DR 확장으로 인한 (1 stop 당) 계조 표현력의 저하는 썩 달갑지 않다. 넓은 DR과 세밀한 계조 표현력은 화질을 결정하는 중요한 요소인데, 양립할 수 없는 관계인 것일까? 더구나 노출값을 이리저리 변경하는 후보정 과정에서는 세밀한 계조 표현에 더 많은 문제를 야기하지는 않을까. 이 문제의 해답은 의외로 간단하다. (먼저, 넓은 DR의 이미지는 디스플레이 환경에 맞도록 재설정되는 과정을 거치거나, 이런 과정이 없다면 양 끝단의 정보는 임의로 잘려 디스플레이 장치의 DR 성능에 맞도록 표시될 것이므로, 실제로 눈에 보이는 이미지의 1 stop에서의 계조 표현에는 큰 차이를 체감하기 어렵지 않을까, 물론, 아래에서 설명하듯, 10 stop을 상회하는 DR 성능을 가진 모니터는 꽤 고사양/고화질의 모니터이고 비트 심도가 상대적으로 더 높을 것이다. 그리고 무엇보다 이미지 포맷의 비트 심도를 높여서 계조의 표현 단계를 증가하면 해결되는 문제이다. 따라서, 정지/스틸 이미지에서는 Raw 포맷을 통해 12 bit 또는 14 bit, 흔하지 않지만 16 bit 등 높은 비트 심도를 통해 이 문제를 해결하지 싶다.
DR이 넓은 카메라에서 JPEG 포맷 (8bit depth)으로 찍은 사진이 DR이 좁은 카메라로 찍은 JPEG에 비해 계조 표현력이 더 좋지 않을 수 있다는 결론은 고사양/고성능을 최고의 가치로 꼽는 사람에게는 조금 불편할 수도 있겠다. 하지만, 비트 심도를 높여 해결할 수 있는 문제이므로 억지로 헤집을 만한 이야기 꺼리는 아니지 싶다. 더구나 연작 수다 중 첫 번째에서 언급했듯이 앞에서 언급한 조건이라면 DR이 넓은 카메라의 이미지는 일응 '계조가 풍부한 사진'이라 불릴 것이고, DR이 좁은 카메라는 상대적으로 '계조 표현력이 좋은 사진'으로 지칭할 수도 있지 않을까? 물론 둘 다 상대적인 비교에 불과하고, 아주 일부분의 제한적인 조건에서나 맞아떨어지는 지엽적인 문제라 생각한다.
하지만, 비트 심도를 높이는 것은 실제 많은 난관이 있고, 비트 심도가 높은 것이 화질(계조/색 표현력 등)에서 중요한 요소이지만, 무작정 높은 것이 최선이라고 말하기에는 현실적인 여러 문제가 있다. 이에 대해서도 아래에서 다루자.
▶ 영상 포맷에서의 비트 심도와 계조
비트 심도를 높여서 계조의 표현력을 증대하는 해법이 여러 기술상의 문제로 적용되지 못하는 경우도 있는데, 대표적인 경우가 현재 일반 소비자 대상의 비디오 카메라 또는 디지털카메라의 영상 촬영 포맷이다. 비디오/영상 파일은 프레임 레이트에 따라 초당 여러 장의 정지 이미지가 연속적으로 이어져서 이루어지는데, 일반적인 영상 프레임 레이트인 24 또는 30p에서 초당 24장에서 30장의 이미지가 존재하고 이는 다양한 압축 알고리즘을 동원하여 용량을 줄인다 하더도 일반적인 스틸 이미지 한 장에 비해 영상 파일은 상당히 큰 용량의 파일이 될 수밖에 없다. 따라서 비트 심도를 높이는 문제는 데이터/파일의 용량과 직결되고 더구나 다른 용량 증가 요소(고해상력을 위한 고화소화 등)와 맞물려 마냥 비트 심도를 높여서 계조 또는 색심도의 문제를 해결 수 없는 상황에 놓인다. 따라서 대부분의 일반용 비디오 카메라 또는 동영상 녹화가 가능한 카메라는 높은 압축률의 포맷/코덱을 기반으로 적정한(카메라의 하드웨어 성능과 사용자들의 이용 목적에 맞춘) 해상력에 현재 디스플레이 환경(현재 대부분의 디지털 TV, 모니터, 모바일 기기의 화면, 디지털 영사기, 그리고 디지털 방송 표준 또한 8 비트 심도를 기반으로 한다), 사용 목적 등을 고려하여 다양한 제품 유형(가정용 비디오 카메라, 액션 캠, 일반용 고화질 VDSLR과 미러리스 카메라, 시네마용 카메라 등)으로 만들어지고 있는 것일 게다.
8비트 심도로 촬영된 영상을 8비트 심도의 재생(디스플레이) 환경 조합은 효과적이고 현재의 일반적인 조건 등을 감안하면 범용성을 가지고 효율적이라 말할 수 있지만, 더 높은 화질(DR이나 색 표현력의 확장)이나 스펙 / 성능을 요구하는 사용자들 요구를 모두 만족시키기 어려운 측면도 있다. 때때로 카메라 제조사는 기술력을 보여주고픈 욕심과 타제품과 차별화를 위해 때로는 무리수를 두기도 하고 제품이 표방하는 컨셉이나 유형과 잘 맞지 않아 사용 콘셉트와 성능이 부 조화스러운 결과를 낳기도 하며, 다양한 소비자 요구의 충족이라는 핑계로 수익 극대화를 위한 급 나누기 행태를 보이기도 한다. 초고화질(UHD) 영상 카메라와 관련하여 카메라의 사양이나 새로운 영상 포맷 등 다양한 변화가 이목을 끄는데, DR 확장의 경우 사람의 시감각 능력에 부합/또는 더 뛰어난 화질의 이미지(사진이나 영상)를 위해 넓은 다이나믹 레인지 범위를 확보하는 것이 필요하고, 사용자가 원하는 룩(계조나 색감)의 사진/이미지를 만든 것, 그리고 다양한 환경에서 편집 사용하기 위한 범용성과 확장성의 확보와 적절한 수준의 후 보정이 가능한 관용성을 확보하는 것 또한 화질과 더불어 중요한 성능의 하나로 여겨진다.
초고화질 영상뿐만 아니라 최근의 유튜브 등 UCC의 인기는 1인 미디어, Vlog 등으로 대표되는 새로운 변화로 다양한 영상 공급과 수요의 다변화를 가져왔고, 영화 제작에서나 가능하던 감성적이고 사람 시각 특성을 고려 시네마 룩 등을 구현할 수 있는 제품의 요구가 커지고 이에 덧붙여 고화질/고성능의 영상에 대한 일반인의 관심도 대폭 증가했다. 카메라 회사들도 이에 부응하는 제품으로 카메라 시장의 판도가 변화하고 있는 것 같다. FHD에서 4K UHD 고화소화는 카메라뿐 아니라 디스플레이 장치에서 이미 상당 부분 진행되었고, 그 뒤를 이어 초고화질 영상에 부합하는 HDR, 확장된 색 심도, 고속 프레임 레이트 영상 등이 속속 일반 소비자 층에서도 가능한 시기가 다가오고 있다. 그중 HDR과 확장된 색 심도가 최근의 일반 소비자용 카메라 성능의 주요 화두로 주목받는다.
근래 영상에는 넓은 DR 실현을 위해 일종의 과도기적 유사 HDR 방식이라고 할 수 있는 감마 커브를 이용한 하이브리드 감마나 로그 프로파일 포맷 등이 자주 활용되는데, 감마 커브와 관련한 계조 표현력의 문제에 대해서 수다를 이거가 보자.
▶ 감마 곡선과 계조 - 모니터의 감마 곡선과 카메라의 감마 곡선
먼저, CRT 모니터 등에서 감마 조정 등으로 친숙한 디스플레이 장치의 감마 곡선(Gammar curve)에 대해 알아보자. 원래 CRT 모니터 등의 디스플레이 장치에서 보다 시각적으로 효과적인 화면의 실현 즉, 사람의 시감각에 최적화를 위해 1930 무렵부터 연구되기 시작했다고 한다. 대표적인 CRT 감마로는 NTSC(National Television System Committee) 표준 감마값인 2.2에 해당한다.
계조를 인식하는 데 있어 사람의 시감각은 "어두운 영역에서의 계조 단계는 잘 구분하지만, 밝은 영역에서의 계조 단계는 어두운 단계에 비해 상대적으로 잘 구분하지 못하는 특성"을 가지고 있는데 이를 반영하여 모니터 등의 디스플레이 장치에서 어두운 영역과 밝은 영역에서 출력되는 휘도 값의 변화와 계조 단계에 변화를 준 방식이다. 좀 더 풀어 설명하면, 이는 사람의 시감각이 밝기 단계를 어두운 영역에서 물리적인 절대값의 밝기 단계에 따라 균등하게 계조를 인지하는 것이 아니라, 어두운 영역에서는 작은 밝기 단계 변화에도 그 차이를 잘 인식하는 반면, 밝은 영역으로 갈수록 밝기 단계의 변화를 지각하기 위해서는 더 큰 밝기의 변화가 필요함을 의미한다. 감마 값 1은 입력과 출력이 각각 같지만, 감마 값이 커 질수록 어두운 명도 영역이 출력이 감소하여 더 어둡게 표현되고 화면의 전체 대비는 높아진다. 따라서 감마 값의 대비를 통해 디스플레이 화면의 계조 영역에 따라 일정 비율로 변화된 휘도 출력을 얻을 수 있다. <출처> 삼성디스플레이 블로그
선형적이었던 입력과 출력의 관계를 사람 시감각의 특성에 맞게 비선형적으로 변형하여 사람의 시각(어두운 영역에서의 계조 단계는 잘 구분하지만, 밝은 영역에서의 계조 단계는 잘 구분하지 못하는 특성)에 알맞은 재생/디스플레이 환경을 만드는 방법이었고 이는 매우 성공적이고 효과적이어서 오랫동안 감마 커브의 조정을 통해 최적화된 재생 화면을 얻는 수단으로 사용되고 있다.
카메라 등 입력 장치에도 필름과 유사한 계조 표현이 가능하도록 하는 방법이 연구되었고 그 해법이 '카메라 로그 감마'라 할 수 있다. 본래, 이미지 센서에 의해 얻어지는 것은 선형 감마이고 이는 밝기에 따라 계조 정보를 균등(선형,linear)하게 기계적으로 기록/저장하여 데이터화 하는 측면에서 분명한 장점이지만, 사람 시감각의 인지 특성과는 잘 부합하지 않아서 이를 그대로 재생할 경우, (필름으로 촬영하여 재생되는 영상과 비교하면) 어색한 디지털 톤의 계조와 색감으로 보였고, 따라서 필름(흔히 시네마 룩 또는 필름 감성?)의 계조/톤과 유사하게 표현 가능하게 고안된 것이 카메라 로그 감마가 연구된 이유이지 싶다. 이를 달리 표현하면, 필름이 사람 시감각의 인지 특성을 반영하고 있으므로 이를 필름을 흉내와 동시에 사람 시감각의 인지 특성에 맞게 가공되었다고 하는 것이 정확하겠다.
카메라 로그(Log) 감마의 시초는 (아마도) 1994년에 '코닥'에 의해 고안된 Cineon 포맷이라고 할 수 있는데, 이는 필름을 텔레시네(telecine - "움직이는 영상 필름 스트립을 디지털 비디오로 변환하는 과정") 하여 디지털로 변환할 때 영화에 사용된 네거티브 필름의 특성에 맞춰 고안된 10bit 로그 감마 곡선으로 필름의 대수(로그)적인 계조를 선형적인 비디오 감마에서 표현하기 위한 로그 감마 곡선이었다. (네거티브 필름의 계조 자체가 대수(로그)로 표현되는 특성을 가지고 있다) 이후, HD TV 방송의 표준(공용)화의 영상 감마로 친숙한 색역 REC. 709 (BT.709) 등등이 만들어지며 HD 표준으로 FHD까지 영상에서 가장 애용된다. 이후 HD 고화질 수준에서 보다 향상된 초고화질(UHD)을 위해 보다 확장된 DR(HDR)에 알맞도록 다양한 감마 곡선(하이브리드 감마 커브, Log 감마 커브 등)과 색역 등이 등장하고 있다.
JPEG에서 감마 커브는 별도로 언급되는 경우는 흔하지 않지만, 색공간( 주로 sRGB) 적용에 의해 RGB 색정보의 비선형 변환이 이루어지고 이 때의 감마 커브는 CRT 감마와 거의 유사하다. 이런 비선형 변환은 사람의 시감각 인식에 알맞도록 밝기/명도 단계에 따라 선형 기반의 RBG 데이터를 효율적으로 사용한다. sRGB의 감마는 특정 수치로 표시하기에는 적당하지 않지만, 약 2.2 (밝기/명도 단계에 따라 1.0~2.4 정도) 비선형의 형태를 보인다.

카메라 감마와 디스플레이 장치의 감마가 '역'감마 형상을 가지는데, 이런 역상은 최종적으로 상쇄하기 위한, 또는 상쇄되는 것인가에 대해서는 좀 더 살펴야 할 부분이 아닐까 싶다. 이에 대해 이해 수준이 낮아서 제대로 설명할 자신도 없고, 일반 상식 수준에서 다루는 허섭한 수다의 범주를 한참 넘어서기도 한다. 이쯤에서 다시 좀 더 주제에 충실한 직관적인 주제로 돌아가자.
▶ 하이브리드 감마와 로그 프로파일에서의 비트 심도와 계조
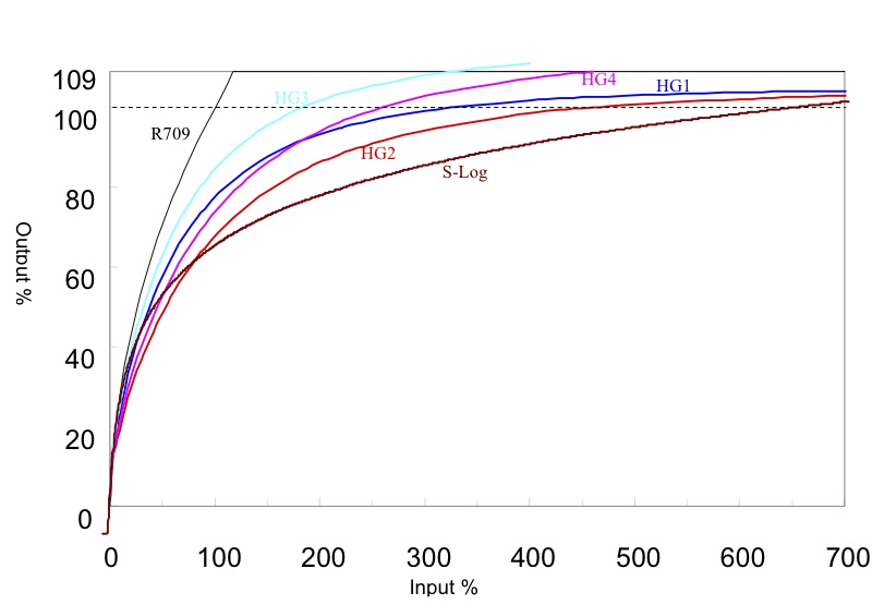
감마 곡선은 계조 표현의 단계에 부분적이면서 동시에 전반적인 변화를 일으켜서 이미지 전반의 계조 표현에 매우 큰 영향을 미친다. 카메라 감마는 시각적 계조 정보를 기록하는 데 있어 어두운 영역(암부)과 명부의 계조 단계에 비선형적으로 담을 수밖에 없다. 특히 더 넓은 DR 확보를 위해 만들어진 하이브리드 감마와 더 극단적인 Log 감마는 더 밝은 영역의 정보를 담을 수 있지만, 상대적으로 확장된 DR 범위만큼 계조 표현 단계의 세밀함은 옅어지고 이는 밝은 영역일수록 더 계조의 디테일은 떨어진다고 할 수 있다. 사람 시감각의 특성이 '어두운 영역에서의 계조 단계는 잘 구분하지만, 밝은 영역에서의 계조 단계는 상대적으로 잘 구분하지 못한다'라고 하지만, 극단적인 카메라 감마 커브, 또는 하이브리드 감마, 로그 감마 커브의 계조 단계는 어두운 영역에서 밝은 영역으로 이동할수록 계조의 디테일은 저하될 수밖에 없고, 따라서 밝은 영역의 계조 단계는 밝기 변화에 비해 한 단계의 계조로 더 넓은 밝기 변화를 표현해야 하고, 후보정 과정에서 계조 단계를 변화할 때 관용도가 낮고, 결과적으로 밝은 영역의 계조 표현력에서 밴딩 등의 문제가 발생할 개연성이 높다. (아래 감마 곡선에서 정도를 비교해 보자)


그리고 이런 문제는 비트 심도가 낮을수록 더 심화될 수밖에 없고, 8 bit depth의 Log 프로파일이 적용된 영상을 후보정 과정에서 이리저리 톤을 변경하는 과정에서 관용도(latitute)를 넘어서 밝은 영역 중심으로 심심찮게 밴딩 현상이 나타나는 주 원인이지 싶다. 따라서 카메라 감마 그 중에서도 확장된 DR을 위한 하이브리드 감마, 로그 감마 커브 등과 관련해서는 8 비트 심도로는 부족하고 10 비트 심도 수준은 되어야 한다는 주장이 꾸준히 제기되지 싶다. 이런 문제 또한 비트 심도를 높이면 해결된다. 하지만, 비트 심도가 높아진다면 계조 표현력과 색 표현력은 대폭 증가하겠지만, 이전 수다에서 언급한 내용과 같이, 재생 환경 또한 10비트 심도 수준으로 향상되어야 이를 제대로 즐길 수 있을 것이고, 8비트 심도의 재생 환경 하에서는 단지 넓은 보정 관용도 확보 이점 이외는 찾기 어려워 투자 대비 효율 면에서 썩 훌륭한 선택일지 장담하기 어렵다.

하이브리드 감마나 로그 프로파일의 감마 커브에서 8 비트 심도라면 문제 투성이라거나 불필요하고 못쓸 것이라는 의미가 아니다. 그리고 8 비트 심도는 저사양이고 10 비트 심도는 고사양이라 무조건 비트 심도가 높아야 한다를 의미하지도 않는다. 비트 심도가 높아지면 이미지와 영상 파일의 데이터 용량은 폭증하고 일명 무거워져서 여러 제약이 따를 것이다. (사용 목적에 따라 다르겠지만, 일반 사용자 대부분의 경우 낮은 비트 심도를 유지해서 얻는 장점이 더 많을 것이라고 생각한다) 화질이 모든 것보다 앞서 우선순위에 있다고 볼 수 없다. 현실적으로 화질 우위와 현실적인 효용성에서 일정 부분에 타협하여야 한다. 그리고 하이브리드 감마 커브와 로그 프로파일의 감마 커브는 넓은 DR의 정보를 얻는 데 있어 효과 또한 탁월하다. 단지, 얻는 것이 있다면 잃는 것도 일부 있을 수밖에 없고, 얻는 것과 잃는 것을 견주어 사용자가 선택하면 될 일이다. 사용자에게 선택할 수 있는 기능이 많다는 것은 언제나 환영할 일이다.
근래에 일반 사용자를 위한 10 비트 심도를 지원하는 영상 포맷과 이를 지원하는 상용 카메라들이 등장하고 4K UHD 화질의 표준도 점차 정립되어 가고 있다. 4k UHD 해상도를 기본 사양으로, 10 비트 심도 기반으로 텔레비젼 방송에 있어 HDR을 실현하면서 기존 SDR에 대하여 하위 호환성을 가지는 감마 커브(하이브리드 로그 감마 HLG 등)가 적용된 상용 단계(유럽과 일본?에서 UHD 방송 표준으로 채택) 제품도 속속 출시되고 있다. 8 비트 심도의 카메라와 재생 환경에서 HDR을 맞볼 수 있게 했던 과도기적 해법인 하이브리드 감마 커브나 로그 프로파일(s-log, C-log, V-log, F-log 등으로 불리는 카메라 프로파일 모드)에서 후보정 과정에서 계조와 색심도 정보의 상대적 부족으로 밴딩 현상이나 계조 뭉개짐이 4K UHD의 10 bit depth에서는 확연히 줄어들 것이다. 하지만, 그만큼 증가한 데이터와 파일 용량으로, 더 높은 압축률 코덱의 필요와 늘어난 용량을 원활하게 처리할 수 있는 높은 전송률 하드웨어와 저장 장치의 속도와 용량 부담 또한 커져서 고민스럽다. 지금은 최신상의 고성능과 스펙, 최신 기능에 몸이 달아오르지만, 그런 것 없던 수년 전에도 충분히 만족할 만한 사진과 영상이 있었던 걸 생각해보면 신상의 사양과 신박한 기능에 너무 안달하거나 마음을 뺏길 이유는 없겠다. 시간이 지나면 새로운 기술과 더 높은 사양의 요구는 되풀이될 것이 뻔하다. 따라서, 현재 자신의 용도나 목적에 맞는 것을 선택하면 되지 않을까! 더 높은 사양이 필요하다면 그 때 또 고민하면 될 일이지 싶다. 현재의 최신 기술 또한 언제나 시간이 흐르면 그럭저럭 용인할 수 있는 현실적인 가성비로 바뀌는 '시간의 해법'이 한편으론 고맙다.
수다를 이어갈 때, 충분히 이해하지 못하는 부분을 다룰 때면 의욕만 앞서고 수다 내용이나 설명이 매끄럽지 못하다. 스스로 다시 읽어 무슨 말인지 종잡을 수 없을 때가 종종 있는데, 이번 수다도 역시나 산만한 구성과 부실한 설이라 아쉽다. 어설프고 허섭한 부분에 대해 좀 더 고민하고 생각을 정리해서 나아진 다음을 기약하자.