Notice - 얄팍한 상식 수준에서 다루는 비전문적이고 깊이 없는 포스팅이므로 숨겨져 있을 오류와 논리적 비약, 수다쟁이의 헛된 망상에 주의가 필요하다.
평소 올드 렌즈 마니아를 자칭하고 디지털 카메라에서도 여전히 올드 렌즈를 즐겨 사용한다. 그중에서도 Sonnar 광학식 표준 렌즈에 애착을 가지고 있는데, 이런 선호의 이유에 대해서는 스스로도 납득하기 부족한 어설픈 이유뿐이다. RF 카메라에 잘 어울리고 이를 대표하는 작은 35mm 표준 렌즈이고 중앙부의 선명함과 (더블 가우스 타입 렌즈에 비해 살짝 해상력에서는 아쉬울 수 있지만,) 용납 가능한 주변부의 화질, 그리고 배경 부분에서 Sonnar만의 개성진 배경 흐림과 올드하지만 촌스럽지 않은 그리고 디지털 이미징에서도 여전히 매력적인 색감(색의 묘사)이 좋다. 그리고 가벼운 스냅 뿐 아니라 인물 촬영에도 잘 어울린다.
디지털 이미징에서도 여전히 매력이 있음에도 불구하고 이 전통의 Sonnar 렌즈는 최신의 렌즈에 비해 분명한 단점/한계도 가지고 있다고 생각한다. Sonnar가 칼 자이스 등 과거의 한 시대를 풍미했던 명성에 기대어 광학적 성능이나 뛰어난 화질의 사진을 만들어내는 광학식인 것처럼 부풀려져 과대평가하는 세간의 평('조나'라서 ** 좋다?)도 많은데, 현 시점에서 흔하디 흔한 표준렌즈의 광학 성능만을 평가한다면 (더블 가우스 타입의 무수한 표준렌즈와 컴퓨터를 이용한 광학 설계로 만들어지는 최신의 렌즈에 비해) 손색이 있음을 인정하지 않을 수 없다. 사실, 최신의 광학기술과 개선된 제조기술로 만들어진 그 많은 카메라 렌즈 속에서 Sonnar만의 장점이라면 거의 변하지 않은 전통의 광학식을 고수하는 것과 그로 인해 잔존하는 수차가 만들어내는 복고 느낌의 독특함 그리고 필름 감성으로 불리는 '노스탤지어'가 아닐까 짐작한다. 지금 되돌아 보면 결코 아름다울 것 없는 (현재의 나라면 결코 마음을 뺏기지 않았을), 그렇지만 기억 속는 언제나 풋풋하고 매력적인 그 첫사랑처럼 한두마디 말로는 다 설명하지 못할 애정이 있다.
이런 사소하고 개인적인 이유로 조나 광학식의 표준 렌즈에 여전히 마음이 끌리고, 우연히 전해들은 옛 연인의 소식에 귀가 솔깃하듯이 조나 렌즈 또한 근래 새롭게 리뉴얼되거나 업그레이드된 소식에 귀를 기울이게 된다. 하지만, 너무 변해버린 컴퓨터를 이용한 설계로 옛 모습을 찾기 어려워서 이 변화를 어떻게 이해하나 한동안 고민하게 했다.
올드 조나나 그 이후의 모던 조나 광학식에 대해서는 이미 다루었던 바 있으니 이에 관한 자세한 내용은 이전 수다로 대신하고, 이번에는 디지털 미러리스 카메라에 대응하기 위해 환골탈태 수준의 변화를 이룬 새로운 Sonnar에 대해서 망상의 살을 덧붙여 보자. 여기서 잠깐 밝혀둘 점은 이 수다의 요지는 특정 제품을 위한 리뷰나 사용기가 아니며, 성능의 비교나 가치, 장단점에 대해 이야기할 생각은 없다. 단지, Sonnar 광학식이 어떻게 변화하는지 그리고 올드 렌즈와 최신 렌즈의 차이나 기술적 지향점에 대한 잡다한 내용과 추측과 흥미 유발을 위한 망상 위주의 수다가 되지 싶다.
<렌즈의 광학구성(Optical Design)과 구조 IV> 칼 자이스 조나 / Carl Zeiss SONNAR
Notice - 얄팍한 상식 수준에서 다루는 비전문적이고 깊이 없는 포스팅이므로 숨겨져 있을 오류와 논리적 비약, 수다쟁이의 헛된 망상에 주의가 필요하다. 조나는 SLR 카메라를 사용할 때는 계륵 같은 렌즈로 생각..
surplusperson.tistory.com
▶ 칼 자이스와 Sonnar
칼 자이스는 광학기기 제조사로서의 첫 손에 꼽히는 역사와 전통의 회사이지 싶다. 과거 영광의 유산으로 칼 자이스라는 사명(社名)뿐 아니라 Plannar, Telsar, Sonnar, Distagon, Biogon, Hologon 등의 광학식 명칭 또한 꽤 익숙하다. 고유의 광학식 브랜드 파워는 칼 자이스나 라이카 등 일부를 제외한 타 카메라 제조사(일본 등)는 갖고 있지 않은 또 다른 경쟁력이 되고 있지 않나 생각한다. 물론, 이름값을 못하는 경우도 있겠고 이로 인해 낭패를 겪을 수도 있겠지만, 익숙한 광학식 이름으로 미루어 짐작되는 특징 등은 유효한 마케팅 이점이 되는 것 같다. 모두가 그렇다고 일반화할 수는 없겠지만 조나 렌즈에 관심과 애정이 많은 자신에게 이런 홍보나 광고가 유독 잘 먹혀서 Sonnar라는 이름이 붙으면 없던 관심도 생기기도 한다.
카메라 렌즈 결상 광학의 표준 렌즈 광학식의 역사는 아주 복잡하고 다양해 보이지만, 큰 틀에서 대략적인 줄기를 파악하면 그리 어려울 것 없다고 생각한다. (물론, 기능면이나 문제를 해결하기 위한 아이디어 측면에서는 아주 난해한 면이 있다) 상용화/제품화된 대부분의 광학식은 비대칭형과 대칭형 광학식으로 나눌 수 있고, 비대칭형의 대표 격은 트리플렛 렌즈(Triplet lens)의 파생/확장형과 대칭형은 더블 가우스(Double Guass) 타입의 파생/확장형 렌즈로 구분할 수 있지 싶다. 좀 더 구체적으로 비대칭형 트리플 렛을 기반으로 하는 대표 표준 렌즈의 광학식은 테사, 엘마, 조나 등이 있고, 더블 가우스 기반으로는 플라나, 비요타, 제논, 울트론, 즈미크론 등 대부분의 SLR 표준 렌즈가 이에 해당한다. Sonnar를 중심으로 다시 정리하면, 표준 렌즈에서 조나 광학식은 비대칭형의 트리플랫 기반으로 하고, 그 외에 전면의 강한 망원성의 구성으로 큰 구경 렌즈를 만드는데 유리해서 출시 당시 가장 밝은 표준 렌즈였고, 요소의 중합 등을 통해 공기와 맞닿은 구면의 수를 줄여 광학계 구성 요소에 코팅 적용 없이도 높은 투과율로 매우 우수한 광학 성능을 구현하였다. 40~50년대 초반까지는 RF 카메라의 표준 렌즈 지위를 굳건히 지켰고 이름값만큼이나 많은 유사 렌즈를 다른 제조사에서도 만들었다. 이후 장점이 희석되고 단점이 부각되는 사연은 위의 링크에서 자세히 다루었으니 이 정도로 정리하자.

비대칭형 광학식의 공통된 대표적인 단점은 대칭형(더블 가우스 타입)에 비해 수차 억제가 더 어렵다는 점이고, 따라서 조나의 주변부에서의 화질 문제 동시에 독특한 묘사력 등은 대부분 잔존 수차의 영향이지 싶다. 따라서 표준 렌즈의 Sonnar 광학식은 장점만큼이나 분명한 단점이 있고, 따라서 30~40년대의 명성은 60년대 이후 더블 가우스 타입 렌즈들에게로 돌아갔으며, 60년대 카메라 시장에서 SLR 카메라와 콤팩트 카메라의 득세와 RF 카메라의 몰락과 자이스 이콘/칼 자이스의 부진 속에 박제된 렌즈/광학식이기도 했다.
RF용 표준 초점거리의 Sonnar 클래식 버전은 현재도 제조/판매되는 렌즈이지만, 사실, 1930년대 등장한 올드 조나 표준렌즈의 광학식을 그대로 답습한 렌즈에 불과하다. 코팅 기술의 적용으로 소소한 변화가 없는 것은 아니지만, 조나의 광학식은 거의 80년 가까이 큰 변화가 없이 그대로 유지되는 역사와 전통?의 렌즈였는데, 이 이면에는 2차 세계대전을 거쳐 50년대 이후 자이스 이콘/칼 자이스의 급격한 몰락과 RF 카메라의 대표 표준 렌즈 중 하나이면서 동시에 SLR 카메라의 표준 렌즈로서는 적합하지 않은 Sonnar 광학식의 한계 그리고 SLR 카메라의 부상으로 RF 카메라가 비주류의 카메라로 취급되었던 것도 분명히 한몫을 했지 싶다.
서론이 너무 길어서 스스로 지친다. 대충 정리하고 본론으로 들어가자.
▶ Sonnar에 대한 칼 자이스의 새로운 제안 - Carl Zeiss SONNAR 55mm F/1.8 ZA & 35mm F/2.8 ZA
일반 소비자용 카메라 시장에서 과거의 화려했던 시절의 명성만 남았던 Sonnar와 클래식 라인업으로 명맥을 유지하던 Carl Zeiss에게 SONNAR 55mm F/1.8 ZA의 등장은 꽤 신선했다. 그리고 광학 구성에서는 그간의 전통 고수에 대한 반작용이었던지 한 번에 많은 변화로 "내가 알던 'Sonnar'가 맞나"하는 의아함이 들 정도였고, 이 새로운 광학 구성을 이해하는데 꽤 고심했다. 디지털 미러리스 카메라에 맞춰 변화된 조나 광학식을 보며 수다를 이어가자. (출시한 지 이미 여러 해가 지나서 일반적인 '새로운?'이라는 의미에 잘 맞아떨어지지 않을지라도 올드 Sonnar와 비교하면 이 조나 렌즈들은 볼 수록 새롭다. 편의상 55mm 표준 렌즈를 위주로 살펴보자)

Sonnar가 디지털 카메라 시대에 다시 등장한 이유는 뭘까?
디지털 미러리스 카메라의 짧은 플랜지 백 거리는 SLR, DSLR 시대에 선택되지 못했던 족쇄를 해결하는 변화였지 싶다. 그리고 칼 자이스 또한 디지털 카메라 시대에 발맞춰 재기를 위한 노력의 일환으로 과거의 유산을 동원하였고, 이 유산 또한 제대로 활용하지 않으면 과거의 덧없는 흔적("라떼는 말이야")으로 잊힐 처지였으니 삼박자?가 맞아떨어진, 어쩌면 어느 정도 예상되는 재등장이 아니었을까 싶다.
왜 55mm f/1.8인가?
초점거리 55mm는 특별한 의미를 가진다고 생각하지는 않는다. 이는 제품 기획하는 또는 설계 사전 단계부터 레드 오션에 해당할 일반적인 50mm 표준 렌즈와 구분되기를 원했을 것이고, 칼 자이스의 제품 라인업 관리 차원에서 플라나와 같은 포지션에서 겹치는 것을 피하고 싶었기 때문이 아닐까. 사실, 조나의 망원성 특징 탓에 35mm FF 규격의 카메라 기준으로 50~135mm 초점거리에 다양하게 제품화되었고, 55mm 또한 표준렌즈로 전혀 생소한 초점거리는 아니다. 전통적인 조나 표준 렌즈의 광학식의 망원성을 기반으로 한 광학 특성을 고려하면 35mm 소형 판형 기준에서 초점거리는 53~58mm가 이상적이지 싶다. 물론, APS-C 규격 전용에서는 조금 더 짧은 초점거리로 설계/제작하는 것도 가능하다)

최대 개방 조리개 값 f/1.8은 칼 자이스의 절제되고 오버하지 않는 즉, 보여주기 식의 사양에만 얽매이지 않는 제품 철학으로 보여서 현명하고 합리적인 선택/결정으로 보인다. (물론, 플라나 f1.4 등이 있으니 그리 무리할 필요도 없었겠다) 비구면 3장을 사용한 광학 디자인에 화질이 좋다고 일반적으로 평하지만, 그 실상은 이 광학식 자체가 비구면 3장을 사용해야 그나마 해결되는 광학 수차 감쇄에 어려움이 있다는 방증(傍證)이 아닐까. (그 흔한 더블 가우스 표준렌즈 f/1.8은 비구면 렌즈 사용하지 않거나 하나 정도로 이에 준하는 수준의 화질 개선을 보여주지 않던가) f/1.4 등으로 사양만 높게 만드는 설계가 사실 불가능한 것은 아니지만, 화질에서 특히 주변부의 화질 저하는 피하기 어려웠을 것이고, 이는 화질 좋고 선명한 렌즈라고 불리기 부족하였을 테니, 합리적인 선택/결정이라 생각할 수밖에 없다. (근래 종종 f/1.2 등등의 최대 개방 조리개 값의 보여주기 식 사양에만 치중한 제품 출시가 자주 눈에 띄는데, 특히, 입지나 브랜드 파워에서 불리한 후발 렌즈 제조사들의 이런 얄팍한 도발은 장기적 비즈니스 관점에서 독이 되어 돌아오지 않을까. 광학 제품만큼 기술력과 메이커의 신뢰를 바탕으로 구매하는 제품도 흔치 않지 싶다. 굳이 특정 제품이나 일례를 들지 않더라도 카메라나 렌즈의 선택에서 사양/스펙 비교만으로 선택하지는 않았던 것 같다. 특히 렌즈는 가성비만 쫒다가 후회한 경험도 많다.)
결과적으로 3장의 비구면 렌즈(2장은 양면이라고 한다) 사용은 원형 조나의 잔존 수차 상당 부분을 해결해서 주변부의 화질도 꽤 쓸만한(중앙부 또한 화질 개선이 일부 있었겠지만, 원형 조나의 중앙부의 화질이 선명하기로 유명했으므로 이는 별론으로 하고) 수준이 되었지만, 이 또한 원형 조나의 오묘한 랜더링 특성 상당 부분과 상쇄된 점이 아쉽다. 즉, 화질이 개선된 만큼 조나의 독특한 특징이 사라지는 역설에 빠진다.(무조건 화질이 좋은 것이 최우선으로 한다거나 렌즈의 개성에 관심이 없고 용납하지 않는 입장이라면 그리 고민할 필요는 없다)
Sonnar 계승한 것은 무엇이고 달라진 것은 무엇일까?
계승한 것은 Sonnar라는 광학식 이름 그리고 비대칭형/트리플렛 광학 구성을 기반으로 하고 있지 싶다. 위의 광학 디자인 이미지만 봐도 대칭형이 아닌 것은 쉽게 확인된다. (트리플렛 광학식은 테사나 엘마, 조나의 원형 정도이고 이제는 한물간 옛 광학식으로 생각하기 쉽지만, 현재에도 여전히 많은 광학기기에서 활용된다. 스마트 폰 등의 카메라 모듈의 광학부 또한 트리플렛을 기반으로 하고 있고, 이에 덧붙여 컴퓨터를 통한 설계로 다양하게 이용된다. 그리고 트리플 렛을 3 요소 군을 중심으로 파악하는 것이 근거이지만, 이에 너무 얽매일 필요도 없지 싶다. 컴퓨터 사용으로 광학 구성과 설계의 자유도가 대폭 향상되었으니 기반이나 근거 정도를 의미하지 싶다)
광학 디자인에서 변화된 부분도 꽤 눈에 띄는데 전면 양의 요소 2매를 겹쳐 구성했던 원형 조나의 대표적인 특징 중 하나인 강한 망원성이 많이 희석된 듯하다. 전면부의 망원성은 (흔히 망원렌즈가 그러하듯이) 렌즈의 초점거리보다 실제 렌즈를 짧게 제조(렌즈의 제2주점이 입사부 쪽으로 이동하는 특징)할 수 있다. 하지만, 이런 특징이 줄어들면서 (더블 가우스와 비교 시) 표준 렌즈에서 상대적으로 작은 크기였던 원형 조나 표준 렌즈의 외형 특징은 남아있지 않은 것 같다. 원형 조나와 비교 시 상대적으로 조금 길어졌다는 의미이며 상대적인 감상일 뿐이며, 일반적인 표준 렌즈 정도의 크기다. 그리고 외형적 크기 문제는 inner focusing 방식의 채택으로 인한 영향도 분명히 있어 보인다.
렌즈의 크기에 대해서 좀 더 사족을 덧붙이면 Sonnar 기반의 SONNAR 55mm F/1.8 ZA의 가장 큰 장점 중 하나는 작고 컴팩트한 크기라고 생각한다. 하지만, 이 장점은 비슷한 사양의 FE 50mm f/1.8 렌즈와 비교하면 아래 이미지처럼 그리 도드라지지 않는다. 조나를 위해 핑계를 대자면, 최근 카메라용 렌즈의 대세에 맞춰 빠르고 쾌적한 AF 구현을 위한 이너 포커싱 또는 플로팅 시스템 방식으로 설계하면 부득이 광학 구성요소의 수가 증가하고 따라서 광학계의 전체 크기가 증가할 수밖에 없다. SONNAR 55mm F/1.8 ZA는내부구성요소 7매 수준으로 간소화되었고, 내부 초점요소 또한 간명해서 작고 컴팩트한 크기에 빠르고 쾌적한 AF 성능을 보여주지 싶다. 일례로 플라나(더블 가우스) 광학식을 기반으로 'Carl Zeiss Planar FE 50mm f/1.4 ZA', '시그마 A 50mm f.1.4 DG HSM', '삼양 AF 50mm f/1.4 FE' 등과 비교해 보면 유사한 이너 포커스 구조와 AF 성능을 가지고 있으며 최대개방 조리개 값 사양에서는 f/1.4와 f/1.8로 약 반스탑 정도의 차이지만, 광학계 구성 요소의 수나 외형의 크기는 큰 차이를 보이는데 이런 측면에서 'SONNAR 55mm F/1.8 ZA'의 AF 렌즈로서 작은 크기는 쾌적한 AF 성능 구현 등에서 분명한 장점이다.



포커싱을 위한 방식에서 초점 조절/포커싱 요소를 구분/분리하여 일부 요소의 이동으로 작동하는 일명, 이너 포커싱 방식(Inner focusing system)을 채택하고 있는 것 같다. 이 방식은 장점이 많은데 구동 요소의 무게를 줄일 수 있어서 빠르고 조용한 AF 구현이 가능한 점은 현재의 디지털 카메라용 렌즈로 적합한 변화라고 생각한다. 하지만, 이런 방식은 전통적인 손맛의 헬리코이드 수동 포커싱 조절에는 그리 어울리지 않아서, 와이어 포커스(Fly-by-wire) 방식 즉, 전자감응식의 포커스 조작만 가능하다. 포커스 링 조작 방식의 호불호에 대해서는 각자의 몫으로 남겨두자.
최단 촬영거리 50cm가 아쉽다는 평을 자주 접하는데, 더블 가우스 타입 50mm 또한 최단 촬영거리는 45cm 정도에 그친다. 초점거리 55mm 렌즈에 최소 초점거리가 50cm면 일반적인 것 아닌가 왜 이걸 단점이라 말하는지 잘 이해되지 않는다. (근래 초광각 렌즈들이 흔하고 즐겨 사용해서 이에 익숙해진 이유 등은 이해하지만) 렌즈의 초점거리를 감안해서 최소/최단 초점거리를 평하는 것이 합리적이다. (상대적으로 RF용 표준 렌즈의 경우 최소/최단 초점거리가 0.75~1m 정도에 달하는데 동일한 초점거리의 일반적인 표준 렌즈의 0.45~0.5m와 비교하면 길다)
칼 자이스는 카메라나 렌즈 생산을 위한 자체 공장을 가지고 있지 않고, 일종의 반도체로 치면 '파운드리'와 같은 위탁 제조를 통해 라이센스와 검수를 통해 관리하는 방식을 취하고 있지 싶다. 사실 이 렌즈 또한 '칼 자이스'가 광학 설계와 얼굴 마담 역할을 담당하고, 제조는 '코시나'에서 그리고 장착될 카메라와 AF 관련 기술 및 판매/유통은 '소니'가 담당하는 또 다른 삼박자?가 맞아 떨어진 렌즈로 보인다. 소니의 디지털 미러리스 카메라에 장착할 목적으로 최신 디지털 카메라에 걸맞도록 화질이 개선되고 빠르고 조용한 AF 성능을 갖춘 SONNAR 55mm F/1.8 ZA로의 진화는 어쩌면 오늘의 사진 애호가들이 바라는 기본에 충실한 렌즈가 되기 위한 불가피한 선택이라 생각한다. (3개 회사 각자의 수익을 생각하면 조금 비싼 출시 가격도 어느 정도 이해된다) 하지만, 올드 렌즈 마니아의 입장에서 조나의 개성이 사라진 이 새로운/진화한 조나 렌즈는 한마디로 정의하기 여러 감상과 희비가 복잡하게 얽힌다. 추억 속의 첫사랑 기억은 여전히 애틋하지만, 현재의 달라진 사람을 여전히 좋아하지는 않는 것과 비슷하달까? 더구나 컴퓨터로 설계된 이 트리플렛 기반의 렌즈에 '조나'가 아닌 '테사'나 다른 명칭을 붙였거나 캐논이나 니콘 렌즈들처럼 서브 명칭 없이 출시했어도 전혀 이상하지 않아 보인다. 사실 이 렌즈를 테사 기반이라 말해도 어색할 것 없다. 컴퓨터로 설계된 이상 예전처럼 계통도를 그리며 설명하는 클래식한 광학 구성 분석은 이제 큰 의미가 없다고 생각한다. 이 렌즈에 붙은 Sonnar는 판촉을 위한 수단에 불과해 보이는 것도 사실이다.
부족함이 크게 드러나지 않는 좋은 렌즈이지만, 스스로에게 물어보면 단지, "칼 자이스의 Sonnar"라는 애정어린 인연이 아니라면 굳이 이 렌즈를 선택할까? 사양이나 화질에서 그리고 AF 등의 성능에서도 아쉬울 것 없는 더구나 가격도 매력적인 더블 가우스 타입의 많은 렌즈들이 많은데, 기꺼이 선택했을까! (쾌적한 AF 등 장점이 없는 것은 아니며, AF를 지원하는 소니 FE 마운트의 네이티브 렌즈로 국한하면 선택의 폭이 넓지도 않다는 한계도 있고, 색수차에서 문제점을 제기하는 의견도 있고, 자동 왜곡 보정 기능이 강제되는 문제도 있다. 자동 왜곡 보정 기능은 스틸 이미지 촬영에서는 불만을 가지기 어렵지만, 영상 촬영에서는 영상 코덱의 압축 방식과 프로세싱의 한계로 왜곡 보정이 적용되지 않는다. 따라서 영상에서 의외의 왜곡이 도드라지는 단점을 발견할 수도 있다. 하지만, 이 또한 스틸 이미지 촬영에 최적화된 렌즈이므로 그리 따로 문제 제기하지는 않겠지만, 미러리스 카메라의 영상 촬영 사용도가 높아지는 추세에 감안하면 아쉽다)
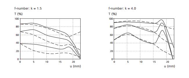
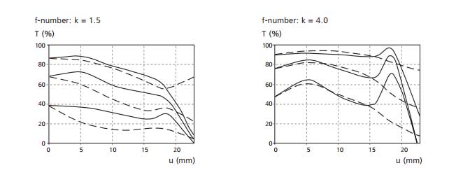
타사의 그 저렴하고 다양한 표준 렌즈들과 비교하거나 칼 자이스나 Sonnar라는 이름만 가리면 소니의 축복이니 하는 과분한 칭찬(아주 저렴한 가격이거나 번들로 제공 된다면 축복이라고 할 수도 있겠지만,)이 달라질 여지도 있어 보인다. 여러 모로 참 애매한 감상이 아닐 수 없는데. 그래도 Sonnar라는 이름에 끌리는 마음은 어쩔 수 없다. 앞에서 비교한 FE 렌즈들의 MTF 자료를 참고할 수 있도록 아래 첨부하였다. (FE 55mm f/1.8 ZA SONNAR의 경우 주변부를 제외한 해상력은 꽤 높은 수준을 보여 준다. 최대 개방 수치가 f/1.8이라는 점은 감안하여야겠지만,)



